ISIJ International
Online ISSN : 1347-5460
Print ISSN : 0915-1559
ISSN-L : 0915-1559
Regular Article
Solid State Reduction of Titanomagnetite Concentrate by Graphite
Haoyan SunXiangjuan DongXuefeng SheQingguo XueJingsong Wang
著者情報
ジャーナル オープンアクセス HTML

2013 年 53 巻 4 号 p. 564-569

詳細
抄録
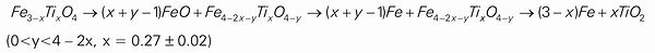
Titanomagnetite concentrate was reduced by graphite isothermally under argon gas in thermogravimetry system at 1373 to 1623 K. The influences of reductive conditions on the reduction and metallization degree including reduction temperature, reduction time and C/O molar ratio were studied. And the characteristics of reduced samples were analyzed by XRD, BES and EDS. Results shown that in the temperatures range of 1423 to 1623 K, initially the reduction proceeded rapidly and after 30 min only a slow increase in reduction was observed. The low reduction degree was owing to the high impurities oxides content such as magnesium oxide in titanomagnetite concentrate and the reduction and metallization degree increased with the C/O molar ratio until up to 1.0 at 1623 K. Above 1373 K, the reduction path is suggested as follow:

著者関連情報
© 2013 by The Iron and Steel Institute of Japan

This is an open access article under the terms of the Creative Commons Attribution-NonCommercial-NoDerivs license.
https://creativecommons.org/licenses/by-nc-nd/4.0/
前の記事 次の記事
feedback
Top