Journal of Reproduction and Development
Online ISSN : 1348-4400
Print ISSN : 0916-8818
ISSN-L : 0916-8818

This article has now been updated. Please use the final version.

Expression and localization of cellular FLICE-like inhibitory protein (cFLIP), an anti-apoptotic factor, in corpora lutea during the estrous cycle and pregnancy in Thai swamp buffalo (Bubalus bubalis)
Kannika WONGPANITNoboru MANABE
Author information
JOURNAL FREE ACCESS Advance online publication

Article ID: 2019-059

Details
Abstract

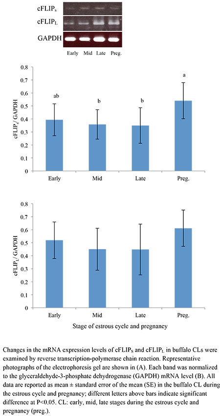
In female mammals, luteal cells rapidly proliferate and form corpora lutea (CLs) after ovulation. The corpus luteum (CL) plays crucial roles in establishing and maintaining pregnancy. To gain further insights into the role of cellular FLICE-like inhibitory protein (cFLIP), an anti-apoptosis factor that is structurally similar to procaspase-8 but lacks proteolytic enzyme activity, we examined the expression in CLs of Thai swamp buffalos (Bubalus bubalis) during the early, mid, and late stage of the estrous cycle and pregnancy. cFLIP short form and long form (cFLIPS and cFLIPL, respectively) mRNA and protein levels were assessed by reverse transcription-polymerase chain reaction and western blotting, respectively. cFLIPS mRNA levels were low in the mid and late stages of the estrous cycle and increased during pregnancy (P < 0.05). cFLIPL mRNA was highly expressed in CLs during pregnancy and was lower in the mid and late stages of the estrous cycle. The level of cFLIPS protein was high in CLs during pregnancy and low levels were noted in the mid stage of the estrous cycle (P < 0.05). Higher levels of cFLIPL protein were demonstrated in CLs during pregnancy and lower levels were found in CLs during the early stage of the estrous cycle. Strong positive immunohistochemical staining for cFLIPS/L proteins was observed in luteal cells during pregnancy. The present findings revealed that cFLIP was at the highest level in CLs during pregnancy, and this may act as a dominant survival anti-apoptotic factor by inhibiting intracellular apoptosis signal transduction in luteal cells of CLs during pregnancy.

Graphical Abstract Fullsize Image
Content from these authors
© 2019 Society for Reproduction and Development

This article is licensed under a Creative Commons [Attribution-NonCommercial-NoDerivatives 4.0 International] license.
https://creativecommons.org/licenses/by-nc-nd/4.0/
feedback
Top