2022 年 24 巻 2 号 p. 134-145
牧草品種育成での罹病程度評価および越冬性評価において,一般的なRGBカメラを搭載したUAVで撮影した空撮画像から,GRVIを含む88のRGB植生指標を算出し育種家評点と比較した.罹病程度評価においては,育種家評点とのピアソンの積率相関係数の2乗(R2)の平均が0.5以上の高い値を示したのはGRVI,GmR,GmR_2,MGVRI,VARI,GI,RGRI,ExGR,ExR_2,SAVI,SAVI_2の11植生指標で,その植生指標の多くは,RGBの3色のうちのBによる影響が小さい植生指標であった.越冬性評価において育種家評点と高いR2を示したのはg,ExG,ExG_2,GLI,CIVE,CIVE_2,RGVBI,RGBVIの8植生指標であった.越冬性評価とのR2が高かった8植生指標はRGBの全色を利用する植生指標であった.この他に複数の地域で行われた,エンバク,イタリアンライグラス,スーダングラス,ペレニアルライグラス,アカクローバの育種試験における育種家評点とGRVIの相対指標であるrGとを比較したところ,草勢および冬枯れ程度の評価でR2が高かった.一方,草型,倒伏程度の評価ではR2は低かった.また,形質の種類にかかわらず,育種家の評価自体が難しい試験ではR2が低かった.これらのことからrGでの評価は,上空からの空撮画像において,試験区内における植物体の面積の大きさで評価する形質や,試験区全体の色調の違いで評価する形質に適していると考えられた.
For the evaluation of disease susceptibility and overwintering performance in pasture cultivar breeding, 88 RGB vegetation indices, including GRVI, were compared with the breeders’ scores from aerial images taken by an unmanned aerial vehicle (UAV) equipped with a common RGB camera. In the disease severity evaluation, 11 vegetation indices (GRVI, GmR, GmR_2, MGVRI, VARI, GI, RGRI, ExGR, ExR_2, SAVI, and SAVI_2) showed a high correlation (mean of R2 ≥ 0.5) with the breeders’ score. Most of the vegetation indices were vegetation indices that were less affected by B. Eight vegetation indices (g, ExG, ExG_2, GLI, CIVE, CIVE_2, RGVBI, and RGBVI) showed a high correlation with the breeders’ score in the overwinterability evaluation. The 8 vegetation indices that correlated well with the overwinterability evaluation were vegetation indices that used all the RGB colors. In addition, a comparison of breeders’ scores in breeding trials of oats, Italian ryegrass, Sudan grass, perennial ryegrass, and red clover with rG, a relative indicator of GRVI, showed a high correlation in the evaluation of grass vigor and degree of winter kill. On the other hand, correlations were low for grass shape and degree of lodging. In addition, regardless of the type of trait, the correlation was low in tests where the evaluation by the breeder itself was difficult. These results suggest that the rG evaluation is suitable for traits evaluated by the size of the plant area in the test area or by the color tone of the entire test area in aerial images taken from the sky.
近年,育種研究,栽培研究などの場面において,作物の特性評価への画像解析技術の導入が進んでいる.従来,作物の特性評価は,調査者による評点値,測定値などにより作物や品種の特徴を調査することにより行われてきた.評価する特性は作物ごとに異なるが,播種や植え付け時から調査は始まり,生育初期,生育中期,そして収穫時までわたる.多年生作物においては,それら調査が複数年に及ぶ.調査内容は多岐にわたり,数値として計測可能な形質だけでなく,数値としては計測できない形質である草勢,草型,色相,色の濃さなど評価者の主観により評価するものなどがある.客観的な計測により評価ができる形質については,どの評価者が実施してもほぼ同じ結果を得られるが,主観による評点は,評価者ごとに違うこともあり,評価者の熟練度によりその結果の安定性は変わってくる.また,熟練度の高い評価者間であっても,評価形質の相対的な順位はほぼ同じになるものの,絶対値としての数値には,ずれが生じることが多い.このことは,データの整合性に関係することもあり,より客観性の高い評価法の導入が求められている.
その中で,農業分野に限らず多くの産業分野でドローン空撮画像を利用した,省力的評価法が導入されてきており,その成果を挙げている.その利用については現地測量(国土交通省国土地理院 2020)や水力発電における水圧鉄管補修業務(福岡ら 2020),圃場中の雑草のマッピング(Peña et al. 2013),イネ紋枯病罹病指数のUAV画像からのNDVI(Normalized Difference Vegetation Index)を利用した評価(Zhang et al. 2018),ジャガイモ疫病罹病指数のUAV-RGBカメラ画像を利用した評価(Sugiura et al. 2016),ぶどう黄化病発病率とUAV画像から算出したNDVIやGRVIを含む多種の植生指標との比較(Albetis et al. 2017),ダイズの乾燥耐性評価(Zhou et al. 2020),フェスクおよびロリウムの乾燥耐性評価(Swaef et al. 2021)など,様々な場面で多くの試みが行われている.これら報告のうち,植物もしくは植生を評価している報告では,多くの植生指標が提案されており,その有効性が示されている.植生指標には近赤外光(NIR)などマルチスペクトルカメラでの撮影が必要な指標も多いが,マルチスペクトルカメラはRGBカメラと比べ高額である.一方で,RGBカメラは安価で導入が容易である.しかしながら,マルチスペクトルカメラによるNIRを利用した指標の方が精度の高い調査項目もあるのは事実で,NIRを利用した植生指標であるNDVIは,多くの利用実績がある.RGB植生指標の一つGRVI(Motohka et al. 2010)は,NDVIの定義式のNIRをRGBのGに置き換えた指標であり,定義式が似ている.そのため,NDVIと同様に有力な植生指標と考えられている.我々はこれまでに,−1から+1までの数値を取るGRVIを0から100までの相対値に改変した指標rGを利用し,トウモロコシの葉枯れ性病害であるすす紋病およびごま葉枯病の評価をしたところ,育種家評点と高い相関が見られることを明らかにしてきた(黄川田ら 2020).また,牧草の育種においても,rGで育種家評点と相関のある形質があることを明らかにしている(秋山ら 2018, 2019).他方,RGB植生指標は定義が異なる多くの指標がある.
本研究においては,オーチャードグラス,ペレニアルライグラスなどの寒地型イネ科牧草の品種育成において必ず評価する項目である罹病程度評価および越冬性評価において,GRVIを含む既報(Barbosa et al. 2019, Beniaich et al. 2019, Costa et al. 2020, Han et al. 2021, Liu et al. 2021, Lussem et al. 2018, Marcial-Pablo et al. 2019, Núñez-Andrés et al. 2021, 尾崎 2018, Sánchez-Sastre et al. 2020, Sanseechan et al. 2019, Sumesh et al. 2021)のRGB植生指標値と育種家評点との相関を比較し,RGB植生指標のうちいずれの指標が牧草の形質評価に適しているか明らかにすることを目的とする.また,エンバク,スーダングラス,イタリアンライグラス,アカクローバなど他の飼料作物育種での形質評価におけるrG評価の有効性を検証する.
北海道農業研究センター(札幌)(北緯43.00864度,東経141.41143度)の試験圃場において,オーチャードグラス(Dactylis glomerata L.)6試験圃場30評価,ペレニアルライグラス(Lolium perenne L.)2試験圃場2評価,フェストロリウム(xFestulolium spp.)3評価,チモシー(Phleum pratense)1評価のイネ科牧草条播圃場(6.3 × 10.5 m~12.9 × 21.5 m)の合計36評価分を,レンズの歪曲収差による画像の歪みや中心投影による立体物の倒れ込みが原因となる誤差を小さくするため,それぞれの試験圃場が画像1枚の中央1/2~1/3程度のサイズに入るように高度を調整し(20~50 m),Phantom 4 ProまたはRTK(DJI Co., Ltd.,深圳,中華人民共和国)を用いて空撮した(表1).両ドローン付属のカメラにおいて,高度20 mでは20 × 30 m,50 mでは50 × 75 mの面積を撮影可能である.撮影した画像は,画像解析アプリケーションHojoLook(藤原ら 2021)をRGB値出力できるように改変し,試験対象領域のRGBデータを取得した(図1,解析対象区設定例).図1では,エッジ効果を抑制するために番外区および試験区の両端10%を除いた18試験区(6系統,3反復)を解析対象としている.このRGBデータからGRVIを含む植生指標88種を算出し,育種家による罹病程度評価(無:1–甚:9)との相関を調査した.具体的には,既報のRGB植生指標88のうち,定義は異なっているが,数値が同値になるもの,正負が逆になるだけになるものなどの植生指標を除き,GRVIを含む69の植生指標(表2)を算出し,撮影時の葉枯れ性病害の罹病程度の育種家評点を比較しピアソンの積率相関係数Rを求めた.この時,Rが正の場合と負の場合があることから,共通の基準で評価するためその2乗(R2)を算出した.罹病程度評価36評価のうち32評価を育種家A,4評価を育種家Bが行った.
| 形質 | 草種*) | 試験圃場No. | 栽植様式 | 評価日 | 空撮日 | 空撮時刻 |
|---|---|---|---|---|---|---|
| 罹病程度 | OG | OG_01 | 条間30 cm 3 m × 2列 | 2019/7/16 | 2019/7/16 | 9:51 |
| 罹病程度 | 2019/9/27 | 2019/9/27 | 5:37 | |||
| 罹病程度 | 2020/7/12 | 2020/7/12 | 8:52 | |||
| 罹病程度 | 2020/8/31 | 2020/8/29 | 8:47 | |||
| 罹病程度 | 2020/10/14 | 2022/10/14 | 11:24 | |||
| 罹病程度 | 2020/10/27 | 2020/10/26 | 10:05 | |||
| 罹病程度 | 2021/7/12 | 2021/7/12 | 8:02 | |||
| 罹病程度 | 2021/9/6 | 2021/9/6 | 8:18 | |||
| 罹病程度 | 2021/11/1 | 2021/11/1 | 13:29 | |||
| 罹病程度 | OG_02 | 条間30 cm 3 m × 2列 | 2019/7/16 | 2019/7/16 | 9:51 | |
| 罹病程度 | 2019/9/27 | 2019/9/27 | 5:37 | |||
| 罹病程度 | 2020/7/12 | 2020/7/12 | 8:52 | |||
| 罹病程度 | 2020/8/31 | 2020/8/29 | 8:47 | |||
| 罹病程度 | 2020/10/14 | 2020/10/14 | 11:24 | |||
| 罹病程度 | 2020/10/27 | 2022/10/26 | 10:05 | |||
| 罹病程度 | 2021/7/19 | 2021/7/19 | 13:59 | |||
| 罹病程度 | 2021/9/6 | 2021/9/6 | 8:18 | |||
| 罹病程度 | 2021/11/1 | 2021/11/1 | 13:29 | |||
| 罹病程度 | OG_03 | 条間30 cm 4 m × 4列 | 2020/5/29 | 2020/5/26 | 13:44 | |
| 罹病程度 | 2020/7/12 | 2020/7/12 | 10:05 | |||
| 罹病程度 | 2020/8/31 | 2020/8/29 | 8:40 | |||
| 罹病程度 | 2020/10/14 | 2020/10/14 | 10:24 | |||
| 罹病程度 | OG_04 | 条間30 cm 4 m × 4列 | 2020/6/2 | 2020/5/26 | 13:44 | |
| 罹病程度 | 2020/7/12 | 2020/7/12 | 10:05 | |||
| 罹病程度 | 2020/9/7 | 2020/8/29 | 8:40 | |||
| 罹病程度 | 2020/10/14 | 2020/10/14 | 10:24 | |||
| 罹病程度 | OG_05 | 条間30 cm 3 m × 4列 | 2020/9/8 | 2020/9/4 | 16:28 | |
| 罹病程度 | 2021/7/26 | 2021/7/26 | 8:33 | |||
| 罹病程度 | OG_06 | 条間30 cm 2.5 m × 4列 | 2021/8/2 | 2021/7/29 | 16:28 | |
| 罹病程度 | 2021/9/24 | 2021/9/24 | 8:08 | |||
| 罹病程度 | PR | PR_01 | 条間30 cm 3 m × 2列 | 2020/6/12 | 2020/6/12 | 8:41 |
| 罹病程度 | PR_02 | 条間30 cm 3 m × 2列 | 2020/6/12 | 2020/6/12 | 8:41 | |
| 罹病程度 | FL | FL_01 | 条間30 cm 3 m × 2列 | 2017/9/19 | 2017/9/19 | 11:12 |
| 罹病程度 | 2018/8/6 | 2018/8/6 | 8:25 | |||
| 罹病程度 | 2018/9/27 | 2018/9/27 | 11:00 | |||
| 罹病程度 | TY | TY | 条間30 cm 3 m × 2列 | 2019/7/22 | 2019/7/22 | 9:11 |
| 越冬性 | OG | OG_01 | 条間30 cm 3 m × 2列 | 2019/4/17 | 2019/4/16 | 9:10 |
| 越冬性 | 2020/4/2 | 2020/4/2 | 14:17 | |||
| 越冬性 | 2020/4/13 | 2020/4/13 | 10:29 | |||
| 越冬性 | 2021/4/9 | 2021/4/9 | 11:32 | |||
| 越冬性 | 2021/4/12 | 2021/4/12 | 15:26 | |||
| 越冬性 | 2021/4/19 | 2021/4/19 | 10:56 | |||
| 越冬性 | OG_02 | 条間30 cm 3 m × 2列 | 2020/4/2 | 2020/4/2 | 14:17 | |
| 越冬性 | 2020/4/13 | 2020/4/13 | 10:29 | |||
| 越冬性 | 2021/4/9 | 2021/4/9 | 11:36 | |||
| 越冬性 | 2021/4/12 | 2021/4/12 | 15:32 | |||
| 越冬性 | 2021/4/19 | 2021/4/19 | 10:56 | |||
| 越冬性 | PR | PR_01 | 条間30 cm 3 m × 2列 | 2020/4/2 | 2020/4/12 | 14:17 |
| 越冬性 | FL | FL_02 | 条間30 cm 3 m × 2列 | 2018/5/9 | 2018/5/9 | 12:02 |
| 越冬性 | FL_03 | 条間30 cm 3 m × 2列 | 2018/5/10 | 2018/5/10 | 11:12 |
*) FL:フェストロリウム,OG:オーチャードグラス,PR:ペレニアルライグラス,TY:チモシー.
同時刻撮影の試験は,同一画像内に複数の試験が含まれている.
生育ステージは,OG_03およびOG_04の空撮日2020/5/26のみ生殖成長期で他は栄養成長期.

HojoLookによるRGB解析.
| 植生指標 | 定義 |
|---|---|
| R | R |
| G | G |
| B | B |
| r | R / (R + G + B) |
| g | G / (R + G + B) |
| b | B / (R + G + B) |
| SI | (R + G + B) / 3 |
| GmR | G - R |
| RmB | R - B |
| GmB | G - B |
| GmR_2 | g - r |
| (= VI1) | |
| RmB_2 | r - b |
| (= VI2) | |
| GmB_2 | g - b |
| (= VI3) | |
| GRVI | (G - R) / (G + R) |
| (= NDI, RGVI, RGVI_2) | |
| MGVRI | (G2 - R2) / (G2 + R2) |
| (= MGVRI_2) | |
| NPCI | (R - B) / (R + B) |
| (= NPCI_2) | |
| GBVI | (G - B) / (G + B) |
| (= GBVI_2) | |
| WI | (G - B) / (R - G) |
| (= WI_2) | |
| VARI | (G - R) / (G + R - B) |
| (= VARI_2) | |
| R_B | R / B |
| GI | G / R |
| B_G | B / G |
| B_R | B / R |
| G_B | G / B |
| RGRI | R / G |
| ExR | 1.4R - G |
| ExB | 1.4B - G |
| ExG | 2G - R - B |
| ExGR | ExG - ExR |
| ExR_2 | 1.4r - g |
| ExB_2 | 1.4b - g |
| ExG_2 | 2g - r - b |
| (= GEI) | |
| ExGR_2 | ExG_2 - ExR_2 |
| GLI | (2G - R - B) / (2G + R + B) |
| (= GLI_2) | |
| TGI | -0.5 × 190(R - G) - 120(R - B) |
| TGI_2 | G - 0.39R - 0.61B |
| TGI_3 | -0.5 × 190(r - g) - 120(r - b) |
| TGI_4 | g - 0.39r - 0.61b |
| CIVE | 0.441R - 0.811G + 0.385B + 18.78745 |
| CIVE_2 | 0.441r - 0.811g + 0.385b + 18.78745 |
| VEG | G /Ra * B(1 - a) (a = 0.667) |
| VEG_2 | g /ra * b(1 - a) (a = 0.667) |
| SAVI | (1.5(G - R))/ (G + R + 0.5) |
| SAVI_2 | (1.5(g - r))/ (g + r + 0.5) |
| RGVBI | (G - (B * R)) / (G2 + (B * R)) |
| RGVBI_2 | (g - (b * r)) / (g2 + (b * r)) |
| RGBVI | (G2 - (R * B)) / (G2 + (R * B)) |
| (= RGBVI_2) | |
| IPCA | 0.994|RmB| + 0.961|GmB| + 0.914|RmG| |
| IPCA_2 | 0.994|RmB_2| + 0.961|GmB_2| + 0.914|RmG_2| |
| Gray | 0.2898r + 0.5870g + 0.1140b |
| Gray_2 | 0.2898R + 0.5870G + 0.1140B |
| PCA1 * | -0.977B + 0.916GBVI + 0.995NPCI+ 0.771RGVI |
| PCA1_2 * | -0.977b + 0.916GBVI_2 + 0.995NPCI_2 + 0.771RGVI_2 |
| PCA2 | 0.999|RmB| + 0.92|GmB| + 0.886|RmG| |
| PCA2_2 | 0.999|RmB_2| + 0.92|GmB_2| + 0.886|RmG_2| |
| I1 | R + G - 2B |
| I1_2 | r + g - 2b |
| SLR1 * | - 60430 - 0.7316B + 69680b + 112800g + 28270GBVI - 23890NPCI + 68380RGVI |
| (= SLR1_2) | |
| SLR2 * | - 46240 - 2.678B + 1.05G + 52570b + 87420g + 20720GBVI - 18240NPCI + 52500RGVI |
| (= SLR2_2) | |
| SLR3 * | - 25373 + 30106b + 46539g + 12776GBVI - 10507NPCI + 28821RGVI |
| (= SLR3_2) | |
| SLR4 * | - 44312 + 51689b + 81995g+ 21751GBVI - 18156NPCI + 50425RGVI |
| (= SLR4_2) | |
| SLR5 * | - 41048 + 46964b + 76841g + 19998GBVI - 17173NPCI + 47162RGVI |
| (= SLR5_2) | |
| I2 * | 0.55 + 11.4GBVI - 12.5NPCI + 9RGVI |
| I2_2 * | 0.55 + 11.4GBVI_2 - 12.5NPCI_2 + 9RGVI_2 |
| COMB1 | 0.25ExG + 0.3ExGR + 0.33CIVE + 0.12VEG |
| COMB1_2 | 0.25ExG_2 + 0.3ExGR_2 + 0.33CIVE_2 + 0.12VEG_2 |
| COMB2 | 0.36ExG + 0.47CIVE + 0.17VEG |
| COMB2_2 | 0.36ExG_2 + 0.47CIVE_2 + 0.17VEG_2 |
| vNDVI | 0.5268 × (R-0.1294 × G0.3389 × B-0.3118) |
定義は異なるが,植生指標値が同値もしくは正負が逆になるだけのものは,括弧内に示し定義式を省略した.
*) RGVI = -GRVI.
北海道農業研究センター(札幌)の試験圃場において,オーチャードグラス(Dactylis glomerata L.)2試験圃場11評価,ペレニアルライグラス(Lolium perenne L.)1評価,フェストロリウム(xFestulolium spp.)2試験圃場2評価のイネ科牧草条播圃場(6.3 × 10.5 m~12.9 × 21.5 m)の合計14評価分を,前述の罹病程度解析と同様に空撮した(表1).撮影した画像は,罹病程度のRGB解析と同様に植生指標を算出し,育種家による越冬性評価(極不良:1–極良:9)とのR2を調査した.越冬性評価14評価のうち12評価を育種家A,2評価を育種家Bが行った.
3. RGB値が植生指標へ与える影響割合RGB値が植生指標へ与える影響割合について,R,G,Bを0から255の間のランダムな値における植生指標値(1)と,そのうちのR,G,Bの1色の値を半分にした場合の植生指標の差の絶対値を,R,G,Bでそれぞれ求め(2)(3)(4),単一色での絶対値の,R,G,B各色の絶対値の和に対する割合を求めた.この操作を10,000回行い,操作ごとに値が大きく発散して値が収束しないものを除き,その平均をRGB各色がその植生指標に与える影響割合(5)(6)(7)とした.
| (1) |
RGBの半減による植生指標値の差(DVC)
| (2) |
| (3) |
| (4) |
| (5) |
| (6) |
| (7) |
農研機構九州沖縄農業研究センター(熊本)(北緯32.88151度,東経130.73856度)のエンバク(Avena sativa L.)(12.0 × 18.6 m~18.0 × 21.6 m),スーダングラス(Sorghum bicolor (L.) Moench.)(30.0 × 67.2 m),イタリアンライグラス(Lolium multiflorum Lam.)(9.2 × 16.0 m~41.6 × 54.0 m)の3草種の試験圃場,農研機構北海道農業研究センター(札幌)のアカクローバ(Trifolium pratense L.)試験圃場(8.0 × 16.0 m),農研機構畜産研究部門(栃木)(北緯36.92042度,東経139.93221度)のペレニアルライグラス試験圃場(10.0 × 13.6 m)において空撮を行った.空撮の方法は,前述の罹病程度解析と同様に試験圃場が画像1枚の中央1/2~1/3程度のサイズに入るように高度を調整し行った.各試験の播種日,定植日,栽植様式,評価日,空撮日,空撮時刻,生育ステージは表3に記載した.調査形質はエンバクでは冬枯れ程度(無:1–甚:9),草勢(極不良:1–極良:9),倒伏(無:1–甚:9)を調査した.スーダングラスでは罹病程度(無:1–甚:9)を調査した.イタリアンライグラスでは再生程度(極不良:1–極良:9),草型(極不良:1–極良:9),草勢(極不良:1–極良:9)を調査した.アカクローバでは草勢(極不良:1–極良:9),刈り取り14日後の再生程度(極不良:1–極良:9)を調査した.ペレニアルライグラスでは草勢(極不良:1–極良:9),刈取生重量(kg/10 a)を調査した.空撮は熊本,札幌ではPhantom 4 Pro,栃木ではカメラZemmuse X5Sを搭載したInspire 2(DJI Co., Ltd.)を用い,前述の罹病程度解析と同様に空撮した.空撮画像からHojoLookによりGRVIの相対指標rGを算出し,育種家評点との比較を行った.
| 作物 | 場所 | 調査形質1) | 播種定植方法 | 播種または定植日 | 栽植様式 | 評価日 | 空撮日 | 空撮時刻 | 生育ステージ | R2 | RMSE |
|---|---|---|---|---|---|---|---|---|---|---|---|
| エンバク | 熊本 | 冬枯れ | 条播 | 2020/11/6 | 条間30 cm 3 m×5列 | 2021/2/1 | 2021/2/1 | 10:49 | 生育初期 | 0.780 | 0.488 |
| 冬枯れ | 条播 | 2021/11/11 | 条間30 cm 3 m×5列 | 2022/2/8 | 2022/2/8 | 14:55 | 生育初期 | 0.193 | 0.595 | ||
| 草勢(初期生育) | 個体 | 2020/2/25 | 条間0.6 m 株間0.6 m | 2020/4/24 | 2020/4/24 | 15:52 | 生育中期~後期(止め葉抽出前) | 0.270 | 1.005 | ||
| 草勢(初期生育) | 条播 | 2020/9/9 | 条間30 cm 3 m×5列 | 2020/10/9 | 2020/10/9 | 15:48 | 生育初期 | 0.578 | 0.587 | ||
| 草勢(初期生育) | 条播 | 2020/9/29 | 条間30 cm 3 m×5列 | 2020/10/29 | 2020/10/28 | 10:57 | 生育初期 | 0.298 | 0.513 | ||
| 草勢(越冬後) | 条播 | 2021/11/11 | 条間30 cm 3 m×5列 | 2022/2/8 | 2022/2/8 | 14:55 | 生育初期 | 0.676 | 0.500 | ||
| 倒伏 | 条播 | 2020/9/9 | 条間30 cm 3 m×5列 | 2020/11/20 | 2020/11/20 | 9:17 | 出穂期~出穂揃 | 0.245 | 2.463 | ||
| スーダングラス | 熊本 | 罹病程度(多回刈り試験) | 個体 | 2020/4/23 | 条間1.2 m 株間0.25 m | 2020/7/15 | 2020/7/17 | 11:11 | 栄養成長期 | 0.043 | 0.875 |
| 罹病程度(少回刈り試験) | 個体 | 2020/4/23 | 条間1.2 m 株間0.25 m | 2020/7/15 | 2020/7/17 | 11:11 | 栄養成長期 | 0.214 | 0.733 | ||
| イタリアンライグラス | 熊本 | 刈取1週間後の再生程度 | 散播 | 2018/9/11 | 9 m×3 m | 2018/12/4 | 2018/12/4 | 8:57 | 刈取後の再生初期 | 0.494 | 0.896 |
| 草型(越冬後) | 個体 | 2018/11/15 | 条間0.8 m 株間0.4 m | 2019/3/2 | 2019/3/15 | 13:19 | 越冬後の生育初期 | 0.022 | 1.003 | ||
| 草勢(越冬後) | 個体 | 2018/11/15 | 条間0.8 m 株間0.4 m | 2019/3/2 | 2019/3/15 | 13:19 | 越冬後の生育初期 | 0.217 | 0.764 | ||
| 草勢(越冬後) | 個体 | 2018/11/15 | 条間0.8 m 株間0.4 m | 2019/4/18 | 2019/4/18 | 13:19 | 越冬後の生育初期 | 0.013 | 0.943 | ||
| アカクローバ | 札幌 | 2年目1番草 草勢 | 個体 | 2017/5/26 | 条間0.8 m 株間0.8 m | 2018/6/22 | 2018/6/22 | 11:22 | 開花期〜開花後期 | 0.459 | 1.383 |
| 2年目2番草 刈取14日後再生草勢 | 個体 | 2017/5/26 | 条間0.8 m 株間0.8 m | 2018/7/12 | 2018/7/12 | 15:38 | 刈取後の再生初期 | 0.178 | 1.462 | ||
| 2年目2番草 〃(デジタル除草)2) | 個体 | 2017/5/26 | 条間0.8 m 株間0.8 m | 2018/7/12 | 2018/7/12 | 15:38 | 刈取後の再生初期 | 0.386 | 1.264 | ||
| 2年目3番草 刈取14日後再生草勢 | 個体 | 2017/5/26 | 条間0.8 m 株間0.8 m | 2018/9/3 | 2018/9/3 | 9:06 | 刈取後の再生初期 | 0.309 | 1.845 | ||
| 2年目3番草 〃(デジタル除草)2) | 個体 | 2017/5/26 | 条間0.8 m 株間0.8 m | 2018/9/3 | 2018/9/3 | 9:06 | 刈取後の再生初期 | 0.780 | 1.042 | ||
| 3年目2番草 刈取14日後再生草勢 | 個体 | 2017/5/26 | 条間0.8 m 株間0.8 m | 2019/7/4 | 2019/7/4 | 8:35 | 刈取後の再生初期 | 0.596 | 1.258 | ||
| 3年目2番草 〃(デジタル除草)2) | 個体 | 2017/5/26 | 条間0.8 m 株間0.8 m | 2019/7/4 | 2019/7/4 | 8:35 | 刈取後の再生初期 | 0.773 | 0.943 | ||
| ペレニアルライグラス | 栃木 | 刈取時草勢(育種家A) | 条播 | 2019/10/22 | 条間0.8 m 条長2.0 m | 2020/11/19 | 2020/11/18 | 14:12 | 栄養成長期 | 0.894 | 0.568 |
| 刈取時草勢(育種家B) | 条播 | 2019/10/22 | 条間0.8 m 条長2.0 m | 2020/11/18 | 2020/11/18 | 14:12 | 栄養成長期 | 0.774 | 1.045 | ||
| 刈取生重量(kg/10 a) | 条播 | 2019/10/22 | 条間0.8 m 条長2.0 m | 2020/11/25 | 2020/11/18 | 14:12 | 栄養成長期 | 0.871 | 122.9 |
1) 評点での評価は1–9の9段階評価.
2) 試験区内の雑草部分をAdobe Photoshopで黒に塗りつぶし解析.
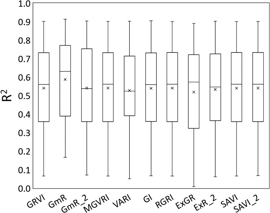
イネ科牧草条播圃場空撮画像から品種・系統のRGB解析をした.各評価における育種家評点の変動係数と,その評価での植生指標とのR2の最大値を散布図に図示したところ,R2最大値が低い評価では変動係数も低い傾向を示した(図2).解析した植生指標の中で,R2の全評価平均が0.5以上を示したのはGRVI (NDI, RGVI, RGVI_2),GmR,GmR_2 (VI1),MGVRI (MGVRI_2),VARI,GI,RGRI,ExGR,ExR_2,SAVI,SAVI_2の11植生指標であり,これら11植生指標間において分散分析を行ったところ,有意差はなかった(表4,表5,図3).これら11植生指標において,RGB各値が植生指標に与える影響割合をシミュレーションにより求めた.VARIは数値が収束せず発散したが,VARI以外の10植生指標はいずれもBを指標に利用していない,もしくはBによる影響が小さい指標であった(表6).また,罹病程度評価の解析画像におけるRGB値を比較したところ,BがR,Gに比べ低い値で,RGB単色と評点との比較の平均R2も同様であった(表7).

罹病程度調査における育種家評点変動係数(CV)とR2最大値の比較.
育種家評点は9段階評価.R2最大値はその試験における植生指標と育種家評点の決定係数の最大値.
| 植生指標 | 罹病程度 | 相関の方向 | 越冬性 | 相関の方向 | 植生指標 | 罹病程度 | 相関の方向 | 越冬性 | 相関の方向 | 植生指標 | 罹病程度 | 相関の方向 | 越冬性 | 相関の方向 | ||
|---|---|---|---|---|---|---|---|---|---|---|---|---|---|---|---|---|
| R | 0.203 | 0.378 | (−) | G_B | 0.219 | 0.285 | (+) | RGBVI | 0.289 | (−) | 0.509 | (+) | ||||
| G | 0.223 | 0.316 | (−) | RGRI | 0.541 | (+) | 0.309 | (−) | IPCA | 0.246 | 0.172 | |||||
| B | 0.168 | 0.334 | (−) | ExR | 0.491 | (+) | 0.411 | (−) | IPCA_2 | 0.210 | 0.128 | |||||
| r | 0.345 | (+) | 0.102 | ExB | 0.253 | 0.328 | (−) | Gray | 0.260 | (−) | 0.357 | (+) | ||||
| g | 0.349 | (−) | 0.513 | (+) | ExG | 0.406 | (−) | 0.518 | (+) | Gray_2 | 0.166 | 0.344 | (−) | |||
| b | 0.198 | 0.178 | ExGR | 0.520 | (−) | 0.476 | (+) | PCA1 | 0.206 | 0.133 | ||||||
| SI | 0.152 | 0.355 | (−) | ExR_2 | 0.534 | (+) | 0.245 | PCA1_2 | 0.206 | 0.133 | ||||||
| GmR | 0.587 | (−) | 0.368 | (+) | ExB_2 | 0.230 | 0.273 | (−) | PCA2 | 0.245 | 0.173 | |||||
| RmB | 0.234 | 0.161 | ExG_2 | 0.349 | (−) | 0.513 | (+) | PCA2_2 | 0.208 | 0.128 | ||||||
| GmB | 0.273 | (−) | 0.255 | (+) | ExGR_2 | 0.470 | (−) | 0.418 | (+) | I1 | 0.233 | 0.145 | ||||
| GmR_2 | 0.541 | (−) | 0.299 | (+) | GLI | 0.350 | (−) | 0.513 | (+) | I1_2 | 0.198 | 0.178 | ||||
| RmB_2 | 0.229 | 0.119 | TGI | 0.344 | (−) | 0.172 | SLR1 | 0.329 | (+) | 0.432 | (−) | |||||
| GmB_2 | 0.242 | 0.302 | (+) | TGI_2 | 0.356 | (−) | 0.487 | (+) | SLR2 | 0.302 | (+) | 0.240 | ||||
| GRVI | 0.540 | (−) | 0.309 | (+) | TGI_3 | 0.326 | (−) | 0.101 | SLR3 | 0.211 | 0.449 | (−) | ||||
| MGVRI | 0.541 | (−) | 0.309 | (+) | TGI_4 | 0.223 | 0.316 | (−) | SLR4 | 0.220 | 0.487 | (−) | ||||
| NPCI | 0.213 | 0.122 | CIVE | 0.421 | (+) | 0.520 | (−) | SLR5 | 0.225 | 0.495 | (−) | |||||
| GBVI | 0.220 | 0.292 | (+) | CIVE_2 | 0.371 | (+) | 0.507 | (−) | I2 | 0.301 | (−) | 0.136 | ||||
| WI | 0.317 | (−) | 0.483 | (+) | VEG | 0.378 | (−) | 0.462 | (+) | I2_2 | 0.301 | (−) | 0.136 | |||
| VARI | 0.528 | (−) | 0.331 | (+) | VEG_2 | 0.378 | (−) | 0.462 | (+) | COMB1 | 0.490 | (−) | 0.487 | (+) | ||
| R_B | 0.213 | 0.118 | SAVI | 0.541 | (−) | 0.309 | (+) | COMB1_2 | 0.428 | (−) | 0.449 | (+) | ||||
| GI | 0.540 | (−) | 0.309 | (+) | SAVI_2 | 0.541 | (−) | 0.305 | (+) | COMB2 | 0.386 | (−) | 0.498 | (+) | ||
| B_G | 0.221 | 0.295 | (−) | RGVBI | 0.288 | (−) | 0.509 | (+) | COMB2_2 | 0.359 | (−) | 0.495 | (+) | |||
| B_R | 0.212 | 0.124 | RGVBI_2 | 0.240 | 0.497 | (+) | vNDVI | 0.220 | 0.363 | (+) |
相関の方向はR2≧0.250の植生指標にのみ付した.
| 評価数 | 罹病程度 | |||||||||||
|---|---|---|---|---|---|---|---|---|---|---|---|---|
| GRVI | GmR | GmR_2 | MGVRI | VARI | GI | RGRI | ExGR | ExR_2 | SAVI | SAVI_2 | ||
| 全草種 | 36 | 0.540 | 0.587 | 0.541 | 0.541 | 0.528 | 0.540 | 0.541 | 0.520 | 0.534 | 0.541 | 0.541 |
| オーチャードグラス | 30 | 0.549 | 0.618 | 0.550 | 0.550 | 0.534 | 0.548 | 0.549 | 0.545 | 0.541 | 0.550 | 0.550 |
| ペレニアルライグラス | 2 | 0.521 | 0.562 | 0.515 | 0.520 | 0.527 | 0.525 | 0.516 | 0.469 | 0.530 | 0.516 | 0.519 |
| フェストロリウム | 3 | 0.352 | 0.278 | 0.355 | 0.352 | 0.346 | 0.355 | 0.349 | 0.300 | 0.320 | 0.349 | 0.353 |
| チモシー | 1 | 0.538 | 0.319 | 0.531 | 0.538 | 0.525 | 0.534 | 0.542 | 0.328 | 0.537 | 0.542 | 0.537 |
| 評価数 | 越冬性評価 R2≧0.5 | |||||||||||
| GRVI | g | ExG | ExG_2 | GLI | CIVE | CIVE_2 | RGVBI | RGBVI | ||||
| 全草種 | 14 | 0.309 | 0.513 | 0.518 | 0.513 | 0.513 | 0.520 | 0.507 | 0.509 | 0.509 | ||
| オーチャードグラス | 11 | 0.193 | 0.463 | 0.462 | 0.463 | 0.463 | 0.463 | 0.453 | 0.463 | 0.462 | ||
| ペレニアルライグラス | 2 | 0.633 | 0.736 | 0.766 | 0.736 | 0.741 | 0.768 | 0.738 | 0.735 | 0.735 | ||
| フェストロリウム | 1 | 0.936 | 0.614 | 0.642 | 0.614 | 0.614 | 0.645 | 0.634 | 0.564 | 0.572 | ||

罹病程度評価におけるR2平均値≧0.5の植生指標.
図中の × は平均値.植生指標間で有意差なし.
| 罹病程度 R2≧0.5 | |||||||||||
|---|---|---|---|---|---|---|---|---|---|---|---|
| GRVI | GmR | GmR_2 | MGVRI | GI | RGRI | ExGR | ExR_2 | SAVI | SAVI_2 | VARI | |
| R | 49.9 | 50.1 | 44.3 | 49.9 | 33.3 | 66.7 | 37.6 | 46.4 | 69.5 | 46.1 | (—) |
| G | 50.1 | 49.9 | 44.3 | 50.1 | 66.7 | 33.3 | 46.8 | 41.5 | 30.5 | 46.2 | (—) |
| B | 0.0 | 0.0 | 11.4 | 0.0 | 0.0 | 0.0 | 15.6 | 12.1 | 0.0 | 7.8 | (—) |
| 越冬性評価 R2≧0.5 | |||||||||||
| g | ExG | ExG_2 | GLI | CIVE | CIVE_2 | RGVBI | RGBVI | ||||
| R | 25.1 | 25.1 | 25.1 | 26.8 | 27.0 | 26.8 | 26.7 | 26.3 | |||
| G | 50.0 | 50.0 | 50.0 | 46.7 | 49.5 | 50.0 | 46.7 | 47.4 | |||
| B | 24.9 | 24.9 | 24.9 | 26.6 | 23.4 | 23.2 | 26.7 | 26.3 | |||
任意のRGB値と,そのうちの1色のみが1/2になった時の植生指標値の差の絶対値をRGB各色で求める操作を10,000回繰り返した際の平均値.VARIは数値が収束しなかった.
| 罹病程度評価 | 越冬性評価 | ||||||
|---|---|---|---|---|---|---|---|
| R | G | B | R | G | B | ||
| 平均値 | 119.5 | 136.8 | 68.6 | 176.5 | 167.1 | 150.1 | |
| 標準偏差 | 23.9 | 21.0 | 21.6 | 24.0 | 21.2 | 26.2 | |
| 最大値(a) | 130.0 | 146.9 | 78.2 | 186.8 | 177.2 | 162.6 | |
| 最小値(b) | 109.7 | 125.7 | 59.4 | 163.4 | 156.1 | 135.6 | |
| (a)-(b) | 20.2 | 21.2 | 18.8 | 23.4 | 21.1 | 27.0 | |
| 評点との平均R2 | 0.211 | 0.221 | 0.157 | 0.378 | 0.316 | 0.334 | |
罹病程度評価と同様に,イネ科牧草の越冬性について評価した.植生指標のR2最大値が低い評価では,育種家評点の変動係数が低かった(図4).解析した植生指標の中で,R2平均が0.5以上になったのはg,ExG (GEI),ExG_2,GLI (GEI_2),CIVE,CIVE_2,RGVBI,RGBVIの8植生指標であった(表4,表5,図5).一方,GRVIではR2 = 0.309であった.GRVIとR2が0.5以上の9植生指標で分散分析を行うと,GRVIのみが有意に低かった(図5).越冬性で高いR2を示した植生指標へのRGB各値の影響は,Gによる影響が46.7~50.0%を占め,R,Bがそれぞれ25.1~27.0%,23.2~26.7%影響を与える指標であった(表6).越冬性評価の解析画像におけるRGBの各値はほぼ同程度で,RGB単色と評点との比較の平均R2も各色同程度であることに加え,いずれもR2値が0.3以上と比較的高い値を示した(表7).

越冬性調査における育種家評点変動係数(CV)とR2最大値の比較.
育種家評点は9段階評価.R2最大値はその試験における植生指標と育種家評点の決定係数の最大値.

越冬性評価におけるR2平均値≧0.5の植生指標.
図中の × は平均値.違文字間で有意差あり(Tukey 5%).
前述試験以外の飼料作物試験圃場における育種家評点とrGの比較結果を表3に示す.エンバクの冬枯れ程度(2021.2.1評価)では,R2 = 0.780と高い値を示したが,翌年の同様の調査では,試験区の冬枯れ程度(2022.2.8評価)のR2は低かった.草勢においては,概ね相関の傾向があったが,特に草勢(2020.10.9評価)と草勢(2022.2.8評価)では高いR2を示した.2020年11月に発生した倒伏についても評価した.R2 = 0.245と相関の傾向を示す数値であったが,RMSEは2.463と大きかった.
スーダングラスの罹病程度評価において,多回刈り試験と,少回刈り試験を比較したところ,多回刈り試験では罹病程度とrGとの間に相関が見られなかった.少回刈り試験では弱い相関(R2 = 0.214)が見られた.
イタリアンライグラスの調査形質において,草勢(2019.3.2評価)で弱い相関(R2 = 0.217)が見られたが,草型(2019.3.2評価),草勢(2019.4.18評価)においては相関がなかった.9月播種(散播)のイタリアンライグラスを12月上旬に刈り取った後の刈取1週間後の再生程度(2018.12.4評価)では,高い相関が見られた(R2 = 0.494).
アカクローバの定植2年目の1番草草勢,2番草草勢(刈取14日後再生草),3番草草勢(刈取14日後再生草)および3年目2番草草勢(刈取14日後再生草)の育種家評点とrGを比較した.2年目1番草においてはR2 = 0.459と相関が高かった.2年目2番草と2年目3番草では圃場での雑草が繁茂したため,2番草はR2 = 0.178,3番草はR2 = 0.309と低くなった.これら雑草部分を画像編集ソフト(Adobe photoshop)により,RGB値がいずれも0である黒で塗りつぶして(以後デジタル除草)再解析したところ,2番草はR2 = 0.386,3番草はR2 = 0.780と高くなった.同様に3年目2番草では,デジタル除草をしていない状態ではR2 = 0.596に対し,デジタル除草を行うとR2 = 0.773となった.
農研機構畜産研究部門(栃木)圃場でのペレニアルライグラスの利用1年目の晩秋の草勢について,育種家Aおよび育種家Bの評点とrGを比較した.育種家AとはR2 = 0.894,育種家BとはR2 = 0.774と高い相関があった.草勢評点直後の収穫調査時の生草収量とrGとの比較では,R2 = 0.871と非常に高い相関を示した.
RGBによる植生指標と牧草の罹病程度および越冬性の評価において,RGB植生指標での評価と育種家評点とのR2が低い傾向にある評価では,育種家評点の変動係数が小さい傾向があった(図2,4).育種家評点の変動係数が低いということは,その評点のばらつきが少ないことを表し,評価している個体もしくは系統の間で,育種家評点の差があまりないことを示す.育種家評点もRGB画像解析も,評価する個体の色や大きさなどを指標として評点や植生指標を導いている.そのため,個体間や系統間で色や大きさの差が小さい場合,評価そのものが難しいため,可能な限り区別性が明瞭となっている状況で評価を行うことが必要であることを示している.一方で,変動係数が小さくてもR2が高いものもあったが,これらのデータを精査すると,育種家評点のばらつきは少ないが,罹病程度や越冬性程度が色調ではっきりと分別できる評価であった.育種家が評点する際,差が判然としない場合,それまでの経験や,植物体全体のイメージも加味するなど主観に大きく頼った評点を付けることがある.このようなことが起こる状況としては,罹病が進んでいない時期の罹病程度評価や,越冬直後で植物体の再生や萌芽程度が十分でない時期の越冬性評価などが考えられる.こうした時期の調査の場合,個体間もしくは系統間での形質の差が小さいために,異なる育種家間で評点および順位が異なることがあり,この時期での画像解析評価自体も難しいことが予想される.一方,罹病程度もしくは萌芽程度がやや進み,わずかながらも差が出てくる時期では,練度の高い育種家であれば安定した評価ができるが,慣れていない育種家では評価が難しいことがある.画像解析での評価は主観を排除した客観的評価であるため,わずかな差であっても熟練の育種家が判別できる程度の差があるのであれば,熟練の育種家同等の精度での評価が期待できる.
罹病程度評価とRGB植生指標の比較では,GRVIを含めた11植生指標が育種家評点とのR2が0.5以上となった.調査した牧草の罹病程度は,葉枯れ性病害を評価しており,罹病程度の進行により病斑部位が増え,健全な緑色部位が,黄化や褐色化していくものが多い.黄化や褐色化する際のRGBの変化は,RとGの変化で多くを説明することができる.実際,育種家評点とR2が高かった11の植生指標の定義式からRGBの各色の影響を算出したところ,RGBの影響のシミュレーションで値が収束しなかったVARIを除いて,残りの10植生指標はBによる影響が少ないか無影響の植生指標であった(表6).また,罹病程度でのBのR2が低かった(表7).このことから,VARIを除き,Bに影響を受けないGRVIを含む10の植生指標は葉枯れ性病害の評価に向いている指標であると考えられる.また,VARIの定義式を見ると,GRVIの定義式の分母にBを加えただけであるため,Bの値が小さい場合,GRVIと高い相関を示すことがわかり,このことが,VARIの相関が高くなった原因であると考えられる.RとBは光合成により吸収される波長であり,そのうちBが植生区と非植生区の差の検出に有効であることが知られている(尾崎 2018).罹病程度を評価する時期の植生は概ね試験区の大部分を植生が占めており,植生の無い部分は解析対象とならないことからBの影響が小さくなったと考えられる.
越冬性の育種家評価は越冬後の萌芽の程度,雪腐病の程度,早春の草勢などを含めた総合的な評価である.萌芽は越冬後の新たな萌芽の程度を表し,萌芽の大きさは加味しない.さらに,萌芽自体の健全なものと雪腐病にかかっているものもあり,それも含めた評価になる.今回の試験でR2の高い形質は早春の草勢を評価した試験が多く,萌芽を評価した試験ではR2が低いものが多かった.早春の草勢は植物体の大きさの評価でもあり,牧草のように上方向と横方向への生長を示す植物では,上部から試験区を見た際の,試験区に占める植物体の面積の評価と相関していることがわかる.上部から見た際の植物体以外の部分は主に非植生区である土壌が主である.前述の通り,Bは植生区と非植生区の区別に大きく影響を与えていることから,早春の草勢を評価する際は,RGBの3色を使って評価する植生指標が適していると考えられる.今回の試験でも越冬性評価でR2が高かったものはRGBすべてを使って評価しているものであった.越冬性と相関が高い植生指標ではBも使用することで,数値の中で試験区内での植物体の存在を反映することができるが,GRVIがBを使用しない植生指標であるため,GRVIでは越冬性評価がうまく評価できなかったと考えられる.
これらのことから,牧草の形質評価においては,葉枯れ性病害の評価では主にRとG,越冬性評価ではR,G,Bで表す植生指標での評価が効果的であると考えられ,Bを定義式に使用しないGRVIは,越冬性評価には不向きで,葉枯れ性病害の評価に適していると考えられる.
他の飼料作物での形質評価について,rGと育種家評点の比較を行った結果,R2が高かった調査は,主に草勢と,エンバクの冬枯れ評価の一部であった(表3).草勢の評価でもR2が高いものと低いものがあるが,その差の要因の一つとして,試験区に占める植物体の面積が考えられる.草勢評価でR2が高かった試験は,試験区内の地面が見えており,中程度の植被率を示す試験が多かった.一方,草勢評価でR2が低かった試験は,植物体が試験区全体を覆うものや,植物体同士が重なり合うほど繁茂しているような試験であった.これらのことから,試験区内の植被面積が中程度である場合,植被面積と相関する育種家評点はrGで高精度および客観的に評価が可能であると考えられ,秋山ら(2019)も同様の報告をしている.一方で,試験区の植被率が高い試験や,前述の越冬性評価のように植被率が非常に小さい試験は,rGでの評価には向かないと考えられる.
アカクローバでは,試験区内に評価個体以外の雑草による植生が存在する条件での評価ではR2があまり高くなかった.しかし,評価する植物体以外の雑草をデジタル除草した結果,非常に高いR2となった.除草は極めて労力のかかる作業であり,試験圃場においてもやむをえず雑草が繁茂することがある.そうした試験圃場においてもデジタル除草によってrG評価が可能であることが示唆された.
エンバクの冬枯れ評価ではR2が高い試験と低い試験があった.冬枯れの評価は罹病程度評価と同様に,植物体の健全部位と黄化または褐変部位の比率で表すことができる.エンバクの冬枯れ試験でR2が低かった試験は,冬枯れ症状が全体的に少ない試験であった.これは,罹病程度評価での罹病初期ではR2が低くなることと同じ現象であると考えられる.冬枯れの発生が低い条件下では育種家評価でも十分な評価ができないことがあり,rG評価でも同様であることがわかる.
空撮画像におけるRGB値は晴天時と曇天時で影響を受けるとされており,そのため異なる画像間での比較には,色マーカーなどによる補正が用いられることがある.今回実施した解析法では,同一画像内に試験圃場全体を収めることで解析している.この方法の利点は,同一画像内であれば個体間もしくは系統間の相対的な順位は色調補正の有無にかかわらず大きく変化することはないため,色調補正の必要がないことである.秋山ら(2019)の報告では,同一試験を同日撮影した晴天時画像と曇天時画像とでGRVIを比較したところ,それぞれのGRVIは高い相関を示した.一方で,晴天時において,空撮時刻が早朝や夕方であると,草丈が大きい個体では影が大きくなり隣の個体などに影が重なるなど,画像解析に影響が出ることから,なるべく影の影響がないような空撮時刻や天候で撮影した方が望ましい.空撮時のドローン制御の影響や,設定したカメラ角度にアングルがつくなど,空撮画像を鉛直方向ではなくやや斜めから撮影した場合,画像の台形補正が必要となることがあるが,HojoLookでは画像解析時の試験区の台形補正を,解析者が画像を見ながら試験区全体の4隅を設定するため,位置マーカーがなくても解析に支障はない.このことから,同一画像内だけでRGB解析を行う場合,事前の準備をせずにドローン空撮画像を撮影するだけで非常に簡便に実施でき,より効率的に評価が行える.ただし,圃場サイズが大きく,1枚の画像に入りきらない場合は,異なる画像間での比較ができるように,色マーカーや位置マーカーを設置し色調補正,位置補正が必要となる.そのため,簡便な方法でのRGB画像解析をするためには,試験圃場設計の時点で圃場を分割して圃場サイズを小さくしたうえで画像解析を行うとともに,それぞれの圃場に共通の標準品種を配置して圃場間でのデータを比較ができるようにするなどの検討が必要である.
以上のことから,RGBカメラで計測可能な植生指標GRVIおよびrGは,葉枯れ性罹病程度評価,中程度の植被率を示す場合での草勢評価において,育種家評点に十分置き換えることが可能である一方,植被率が非常に小さい越冬直後や,罹病程度の低い試験など,育種家でも評価が難しい時期には適していない.GRVI,rGは越冬性評価に最適ではなかったが,その他のRGB植生指標が適する結果が示されたことから,高価なマルチスペクトルカメラではなくとも一般的なRGBカメラによる形質評価が可能であると考えられる.HojoLookの現行配布バージョンでは,簡便さを主目的としたため,GRVI,rG出力に特化している.しかし,本研究において,rGは越冬性評価には不向きであることが示唆されたため,越冬性評価に適した植生指標をさらに検討する必要がある.また,他作物の特性評価においては,飼料作物と異なる植生指標が適している可能性も考えられる.各種作物の特性評価に適した植生指標については,今後も多くのデータ蓄積と検証が必要と考えられる.画像解析法は有用な手法であるが,その利用には画像解析の専門知識を必要とするため容易ではなく,そのために育種研究分野で広く普及してはいなかった.本研究で用いた改変版HojoLookは画像解析対象領域を簡単に設定でき,領域内のRGB値を簡便に出力することが可能であり,画像解析法に関する知識・技術はほぼ不要であるため,RGB画像の画像解析に基づいた植生指標の応用検討に有用なツールとなると期待される.HojoLookは「https://www.naro.go.jp/laboratory/harc/contents/hojolook/index.html」から入手可能である.
本研究を実施するにあたり,圃場管理や計測にご助力いただいた北海道農業研究センターの坂貴祝氏,澤田将氏,島田里美氏,須藤早苗氏に感謝申し上げます.